在很多應用中,尤其是測試和測量領域,您都需要借助外部裝置或數字模擬轉換器設置反相降壓/升壓穩壓器的輸出電壓。在常規的降壓拓撲中,這種操作很簡單:只需要借助一個帶有串聯電阻器的電壓電源、一個電流源或者一個DAC將電流導入反饋節點,如圖1所示。

1.降壓拓撲的可編程電壓
但是,如果您需要改變降壓-升壓拓撲中的電阻器的電壓,就有一點麻煩了。
您可以通過反相接地和VOUT電位并使集成電路的參考位于-VOUT電位而配置降壓-升壓拓撲中的降壓穩壓器。也就是說穩壓器集成電路的接地腳位于-VOUT。由于穩壓器的FB引腳位于-VOUT電位而非接地電位上,將電流導入FB引腳便有一點棘手。為將電流導入反相降壓-升壓拓撲中的FB引腳,您需要電平移動電壓源/DAC的信號。在本文中,我將向大家介紹一些不同的方法。
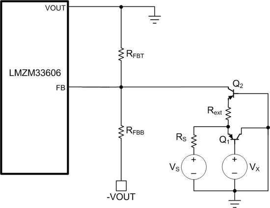
以德州儀器的LMZM33606為例。LMZM33606是一個額定輸入電壓為36V的降壓電源模塊,最大負載為6A。 圖2說明了如何將LMZM33606設置為反相降壓-升壓穩壓器。

2.LMZM33606反相降壓-升壓。
方法1:使用一個PNP的電平位移器
在這些降壓-升壓應用中使用LMZM33606時,可以實現-15V至-5V的可編程輸出電壓范圍。通過電流源方法,您能夠以絕對量級調低穩壓器的輸出。這樣,在設置反饋分頻器電阻器時,便可以將設計的默認輸出設為-15V。添加外部電流源時,您可以將穩壓器輸出設置為-5V。默認輸出為-15V時,計算的高反饋值和低反饋值分別為:
RFBT = 100kΩ.
RFBB = 7.42kΩ.
電平位移接地參考信號以將電流導入FB引腳的最簡單的方法是,使用單PNP型雙極性晶體管(BJT)。圖三說明了如何將一個單PNP作為電平位移器使用。

3.用單PNP的部署。
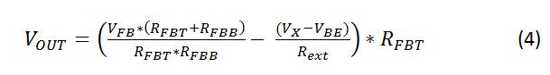
PNP Q1的基極接地,反射極通過電阻器連接DAC/電壓源。電壓源高于PNP基地發射下拉(VBE)時,會產生等式1所述的電流:

xt設定為50kΩ。FB節點可以應用基爾霍夫電流定律,您可以使用等式2計算電流IX:

等式2中代入等式1,得出等式3,由此可以計算出調整輸出電壓VOUT所需的編程電壓VX:

等式3變成等式4,可以得出根據VX值進行變成的VOUT:

等式4說明了VOUT對晶體管VBE的從屬關系。晶體管VBE本身取決于集電極電流,隨溫度變化時,會影響編程VOUT的精確度。
下一個方法說明了如何從等式中移除VBE。圖4所示是一個有兩個PNP晶體管的電路,所采用的連接方式可以抵消VBE的影響。
方法2:使用兩個PNP的電平位移器

4.兩個PNP抵消VBE的部署。
本方法需要使用兩個PNP,最好是使用兩個組合包裝的PNP BJT,以確保兩個晶體管之間匹配良好。本方法還可以減少輸出電壓編程中的錯誤。
Q1晶體管的基極連接至程控電壓源。發射極經由一個串聯電阻器RS連接至另一個正電軌,并且集電極接地。這樣便可以在晶體管的發射極形成一個VX + VBE電壓。Q2晶體管的發射極通過電阻器RX連接至Q1的發射極。RX設置導入FB節點的電流。基極接地后,Q2發射極節點產生一個+VBE。等式5計算了流至發射極的電流(理想情況):

曾解釋過,晶體管的VBE取決于集電極電流,如等式6所述:

其中IC為集電極電流,IS為飽和電流,VT為熱電壓。
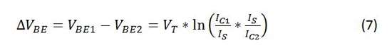
如果兩個晶體管的集電極電流差異較大,則VBE不會完全彼此抵消。等式7闡述了晶體管兩個VBE之間的差異:

簡化為等式8:

其中X為兩個集電極電流的比率。
如您所見,如果兩個集電極電流相同,則VBE將完全抵消。在圖4所示的配置中,設定RS的值時,需要確保集電極電流之間的差異不是太大。在本例中,我選擇的RS為10kΩ,RX為50kΩ。VBE的增量也會隨著VT而變化,它會隨著溫度變化而發生。
方法3:改良版威爾遜電流鏡
使用電流鏡匹配集電極電流是一個非常有效的方法。對此,相比常規的電流鏡,威爾遜電流鏡是一個更好的選擇。圖5是威爾遜電流鏡中使用的原理圖。

5.爾遜電流鏡部署
本方法中,有另外一個BJT,基極連接至Q1的集電極。Q3的發射極連接至電流鏡的VBE結點。程控電流經Q3晶體管的集電極流至FB引腳。
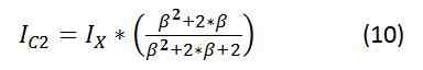
現在可暫時忽略電阻器RB,等式9按照以下方式計算導入本設置中的參考電流:

等式10得出了導入電流與參考電流的比率。

在晶體管的增量() 為較大的值時,可以看到威爾遜電流鏡的精度遠高于標準電流鏡。
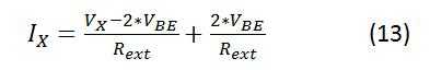
威爾遜電流鏡不會完全消除對VBE的依賴性。但可以通過一個簡單的方法避開。將電阻器RB從源VX連接至電流鏡基極,如圖5所示,形成一個添加至參考電流IX的電流。將等式9改寫為等式11:

等式12選擇RB:

等式13:

等式13中的VBE組件完全抵消,得出等式14:

等式14說明,導入FB節點的電流僅基于程控電壓,不受VBE影響。
無論使用哪一種方法,都可以借助少數幾個組件為反相電軌創建一個程控輸出電壓。電路的復雜性依具體的系統要求而異。對于要求極高保真度的應用,威爾遜電流鏡是最佳的解決方案,因為它可以得出與程控電壓最接近的響應。
免責聲明:本文來源于德州儀器,本文僅代表作者個人觀點,本站不作任何保證和承諾,若有任何疑問,請與本文作者聯系。