上期,針對目前行業中對于散斑的一些不正確的見解——“無論什么光源,都可以產生光學干涉現象,也就是說‘任何光源都可以產生散斑現象’”進行了分析說明,受到了很多高能學霸小伙伴的歡迎,那么今天我們將繼續和大家分享一些不一“斑”的知識。
關于是否存在原生無散斑
行業某文章歧義觀點截圖


圖 1.原文章中的截圖
在這部分,原文以之前
圖2.熒光激光放映技術示意漫畫
但藍光用的仍然是激光,因此確實含有激光成分。小編這里計算了一下熒光激光放映中激光成分的比例,如圖3所示,以輸出60000 lm的DCI標準的白光為例,RGB三基色激光放映機的光機需要輸出45.8 W的藍激光、81.0 W的綠激光和112.9 W的紅激光,而熒光激光的光機只需要輸出46.7 W的藍激光和119.7 W的熒光。即熒光激光輸出的相干光成分不到RGB的1/5。使用原文中引用的一句話,“任何拋開劑量談毒性的,都是耍流氓”,在觀影過程中,激光散斑主要影響的是觀眾的觀影感受,是一個視覺心理量,人眼是有分辨閾值的,目前對激光散斑對比度的標準制定正在緊鑼密鼓的制定中,也就是說,只要激光散斑對比度在某個閾值以下,觀眾是沒法察覺的。這里小編悄悄透露一下,目前在各種標準的測量中,和其他激光放映機相比,熒光激光放映機的散斑對比度是最低的哦,沒有之一!與標準測量相互驗證的是,在實際的產品運作中,熒光激光放映機的運營者均沒有花額外的成本去消散斑,因為不需要,這也是為什么熒光激光技術敢號稱“原生態,無散斑”的原因。
圖3. 產生60000 lm白光時(a)RGB需要的激光功率,(b)熒光激光需要的激光和熒光功率
另外,熒光也正是一種消散斑的有效手段。關于是否存在原生無散斑這個問題,我們已經討論完了,接下來讓我們繼續看下一個歧義的觀點。

圖 4. 原文章中的截圖
在這部分,對于散斑的安全性問題,某些文章認為激光放映機的屏幕反射光對人眼是安全的,因此散斑對人眼無害。小編承認屏幕反射光對人眼確實是安全的,不僅如此,激光放映機內部的原始激光在經過一系列光學器件后,被均勻地散布在寬闊區域,從投影鏡頭射出的不再是非常強的窄平行光束,不再具有原始激光的危險能量。因此,國際電工委員會(IEC)在2015年正式將激光放映機的分類從激光標準(IEC 50825-1: 2014)更改為了燈光標準(IEC 62471-5: 2015) [4]。
(1)
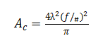
其中f/#為相機鏡頭的f-number,即

(2)
其中f為鏡頭焦距,為鏡頭孔徑的直徑。
人眼結構類似于CCD相機,其焦距f為22.8mm [6],瞳孔直徑D為3.2mm [7]。因此,對于638nm、525nm和465 nm的紅綠藍光,人眼視網膜上的散斑平均尺寸分別為26.32μm2、17.82μm2和13.98μm2在人眼視網膜中央凹區域,視錐細胞(感光細胞)的平均密度為191000mm-2即視網膜上單個像素點的平均尺寸為5.24μm2,因此單個散斑平均可以覆蓋3~5個視錐細胞。
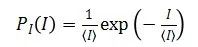
在激光散斑成像中,散斑強度是一個隨機量,通過Goodman的“隨機行走”理論 [3],可以獲得散斑強度的概率密度函數。在單個散斑平均覆蓋3~5個視錐細胞的情況下,視網膜感受到的散斑強度的概率密度函數為圖5所示的負指數函數 [3],其概率密度函數為:

(3)
其中(I)表示散斑的平均強度,即同功率非相干光到達視網膜時的光強。

圖5. 散斑強度測試結果的直方圖
實線表示負指數函數 [3]
在實際應用中,我們更關心散斑強度超過一定閾值的概率,該概率為:

(4)
從公式(4)可以看出,視網膜上某處感光細胞的散斑強度有5%的概率超過3倍平均強度,有0.01%的概率超過9倍平均強度,當散斑強度超過安全限值,將會導致該處感光細胞的損傷。
以DCI標準的白光為例,RGB三色激光放映機在視網膜上產生平均強度為I0的光強時,人眼視網膜上不同區域的散斑強度分布如圖6 (a)所示,從中可以看到,局部的視錐細胞需要承受9I0的光強。而如果為激光熒光,則由于大部分為熒光,相干光成分較少,前文計算可知相干光成分不到RGB的1/5,因而該部分的視錐細胞只需承受2I0的光強,熒光遠小于RGB的光強傷害。9倍的強光傷害你想感受一下嗎?

圖6.(a)RGB三色激光投影
和(b)熒光激光放映在視網膜上產生的散斑強度分布
今天,關于行業一些文章對散斑的觀點,我們分析到此結束。但小編想說的是,在激光顯示領域,我們都需要拿出正確的態度來對待激光散斑這個攔路虎,不論是為了更好的觀影體驗,還是為了降低強光傷害風險,都需要想辦法去盡量降低激光散斑,而不要去回避它。目前即使已經有大量手段來消散斑,學術界也還在繼續研究更便宜更有效更穩定的消散斑方式,附上今年最近的一篇消散斑的文獻 [9],如果散斑不需要解決,為何學術界還樂此不疲的研究呢。事實上,熒光也正是一種消散斑的有效手段,目前熒光激光放映技術的代表ALPD®也正是在利用這種手段消散斑。希望,在激光顯示領域的發展中,大家能夠相互促進,為整個行業的發展添磚加瓦。
免責聲明:本文來源于中影光峰,本文僅代表作者個人觀點,本站不作任何保證和承諾,若有任何疑問,請與本文作者聯系。