為美術館、藝術館甚至模擬飛行和模擬車輛駕駛培訓等場景營造具有高度沉浸感的環境,關鍵是要創造一個環繞觀眾的巨幕影像,在這類場景中,投影仍是一個營造沉浸場景的理想選擇。
但在多臺投影機融合部署時,仍然需要應對許多挑戰,其中就包括投影融合時融合帶的亮帶問題和多臺投影畫面之間的顏色差異。

多臺融合時融合帶亮帶和色差
融合帶的亮帶很容易解決,因為大多數融合軟件或融合器都可以自動調整投影畫面的融合帶,以補償相鄰投影圖像重疊時產生的亮帶。
但是顏色差異卻比較難解決,即使投影機是相同型號且由相同制造商的相同生產線生產,每臺投影機的光學元器件(例如光源、色輪和鏡頭等)都會因元器件之間微小差異的累積而產生顏色差異。

每個投影畫面之間的色彩一致性是高質量沉浸式投影的基礎
為了解決色差問題,我們需要先深入了解色差的概念,特別是如何衡量色差,然后再討論如何利用現有技術將色差最小化。
在討論色差時,專家們傾向于使用國際照明委員會(簡稱 CIE)定義的三維 CIELAB 色彩空間。這是因為 CIELAB 色彩空間使用三個數值來定義視覺光譜中每種顏色的坐標(L* 表示亮度,a* 和 b* 表示人類視覺中的四種顏色:紅、綠、藍、黃),從而可以準確一致地量化任意兩種顏色之間的差異。

CIELAB 色彩空間
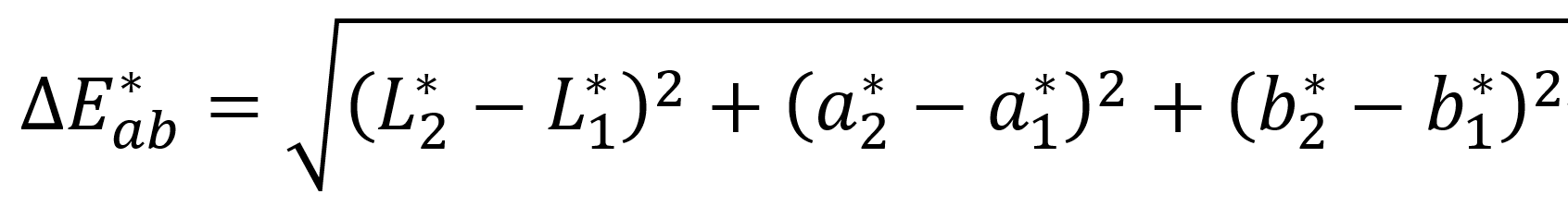
在 CIELAB 空間中,用來表示兩種顏色之間差異的值被稱為 Delta E,它主要是通過計算兩種顏色坐標之間的距離度量得出的。

Delta E 計算公式
有了 Delta E,專家們就可以定義人們觀察到的各種色差大小:
Delta E < 1
人眼無法察覺這兩種顏色之間的差別
1 < Delta E <2
只有專業人士才能注意到兩種顏色之間的差別
2 < Delta E <3.5 普通人也能看出這兩種顏色的差別
3.5 < Delta E <5
所有人都能注意到這兩種顏色之間的差別
5 < Delta E
人們看到的是兩種不同的顏色
所有投影制造商都非常清楚投影機之間的色彩差異是不可避免的,因此市場上幾乎所有的投影機都具有允許用戶對投影畫面的色彩進行手動調節的功能,例如調節 R/G/B 增益的設置。

大多數投影機都具有類似的白平衡調節功能(如 R/G/B 增益),可讓用戶手動調節實現色彩一致性
大多數情況下用戶都可以通過調節投影機的白平衡設置來減小色差,這是因為投影畫面中白光是由所有顏色混合產生的,在大多數投影畫面中,主要顏色都是白色或含有白色元素,這與畫家在白色畫布上畫圖的原因類似,先在每塊畫布上涂上相同的白色,然后再添加其他顏色,以獲得統一的效果。

投影融合就像在多塊畫布上繪畫:先在每塊畫布上涂上相同的白色,然后再涂上其他顏色,以達到統一的效果
利用這類內置的色彩校正功能,有經驗的集成商無需花費太多時間和精力,就能使投影畫面之間的 Delta E 達到小于 3,而有經驗的色彩專家利用色度計等工具,Delta E 可達到小于 2,但是這是一個非常耗時的過程,會增加安裝時間、復雜度和成本。

BenQ 出廠白平衡調整可優化每臺投影機的白平衡
為了更好地解決色差問題,BenQ 在部分工程機產品中引入了出廠白平衡調整,即在出貨前將投影機預先校準到一致的色彩水平,以 D65 白為標準,將Delta E 控制在小于 2,從而大大提升安裝和調試過程的效率。
其他投影機在生產線上僅對單臺顏色進行校正,多臺顏色一致性主要依靠現場安裝的技術人員進行手動校準,而 BenQ 的出廠白平衡調整在生產端就完成了顏色一致性校準,實現開箱即用。

白平衡調整前后色域圖
BenQ 出廠白平衡調整致力于在投影畫面之間獲得一致的白色,從而盡量消除畫面之間的色差,使畫面能夠輕松地相互融合,大大提升了集成商安裝施工效率,同時也讓觀眾獲得更沉浸的體驗。
![]() 關注微信公眾號 |
免責聲明:本文圖文素材來源于BenQ明基,本文僅代表作者個人觀點,本站不作任何保證和承諾,若有任何疑問,請與本文作者或提供稿件商家聯系。如涉及到侵權,請聯系我們及時刪除。